Letter Of Undertaking And Indemnity Announcements Portal
Letter Of Undertaking Forms Portal
Sample Letter Of Undertaking To Bank And Confirmation To Loan Solicitors Government Information Business
Letter Undertaking Form Rezzen
Pdf Undertaking Research In Malaysia Mohd Tajuddin Abdullah Phd Fasc Academia Edu
Doc Letter Of Undertaking Of Stability Study Asean Zone 31 Qayyum Al Walid Academia Edu
Ministry Of Foreign Affairs Of Malaysia
Letter Of Undertaking For Industrial Attachment Overseas
Undertaking Personal Loan From Company Affidavit Form Personal Loans Lettering Office Word
Letter Of Indemnity And Undertaking Vendor Indemnity Malaysia
Letter Of Undertaking And Indemnity Lou Wef 24 July 2020 I Forms Portal
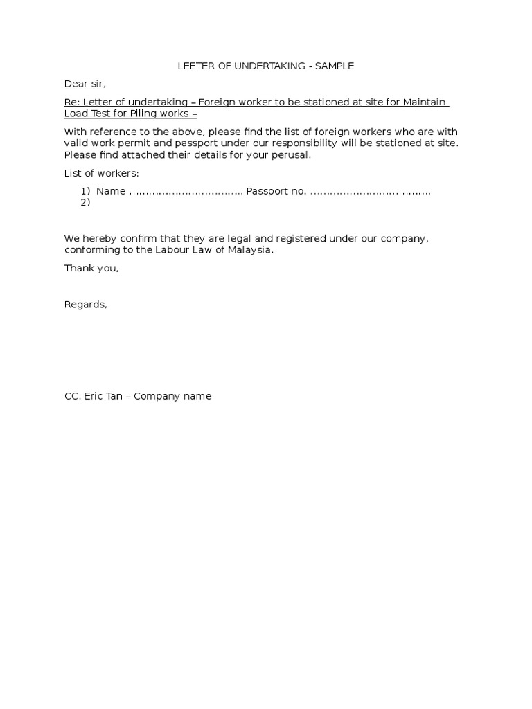
Letter Of Undertaking Sample
Letter Of Undertaking And Indemnity Embassy Of Malaysia The Hague
Letter Of Undertaking Rindwood Mukah 1 Taxes Taxation
Photo Gallery Portal
Http Www Bioeconomycorporation My Wp Content Uploads 2011 11 Downloads Aboutmalaysia Guidelines On Employment Pass Applications In Malaysia V1 Pdf